Упр.10.15 ГДЗ Мерзляк Поляков 7 класс (Алгебра)
Решение #1

Рассмотрим вариант решения задания из учебника Мерзляк, Поляков 7 класс, Вентана-Граф:
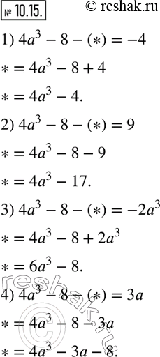
10.15. Какой многочлен надо вычесть из двухчлена 4a^3-8, чтобы разность была равна:
1)-4; 2) 9; 3)-2a^3; 4) 3a?
*размещая тексты в комментариях ниже, вы автоматически соглашаетесь с пользовательским соглашением