Упр.105 ГДЗ Дорофеев Суворова 8 класс (Алгебра)
Решение #1

Рассмотрим вариант решения задания из учебника Дорофеев, Суворова, Бунимович 8 класс, Просвещение:
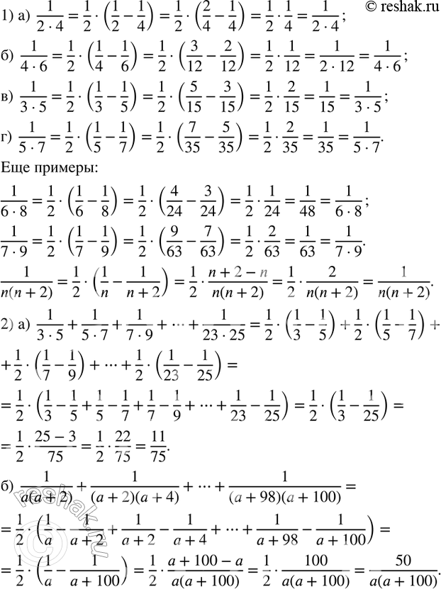
105. 1) Проверьте равенства:
а) 1/(2•4)=1/2•(1/2-1/4);
б) 1/(4•6)=1/2•(1/4-1/6);
в) 1/(3•5)=1/2•(1/3-1/5);
г) 1/(5•7)=1/2•(1/5-1/7).
Составьте еще несколько таких же равенств. Запишите соответствующее буквенное равенство и докажите его.
2) Примените доказанное равенство для упрощения выражений:
а) 1/(3•5)+1/(5•7)+1/(7•9)+?+1/(23•25);
б) 1/a(a+2) +1/(a+2)(a+4) +?+1/(a+98)(a+100) .
Упростите эти выражения другим способом, последовательно складывая дроби. Совпали ли ваши результаты?
*размещая тексты в комментариях ниже, вы автоматически соглашаетесь с пользовательским соглашением