Упр.110 ГДЗ Дорофеев Суворова 8 класс (Алгебра)
Решение #1

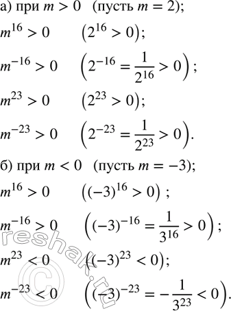
Рассмотрим вариант решения задания из учебника Дорофеев, Суворова, Бунимович 8 класс, Просвещение:
110. Сравните с нулем значения выражений m^16, m^(-16), m^23 и m^(-23), если а) m>0; б) m<0. Сделайте вывод.
*размещая тексты в комментариях ниже, вы автоматически соглашаетесь с пользовательским соглашением