Упр.12.2 ГДЗ Мерзляк Поляков 7 класс (Алгебра)
Решение #1

Рассмотрим вариант решения задания из учебника Мерзляк, Поляков 7 класс, Вентана-Граф:
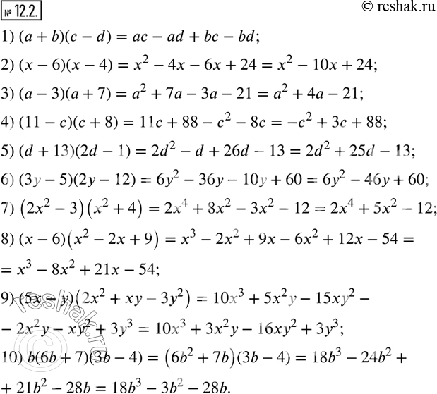
12.2. Преобразуйте в многочлен выражение:
1) (a+b)(c-d); 6) (3y-5)(2y-12);
2) (x-6)(x-4); 7) (2x^2-3)(x^2+4);
3) (a-3)(a+7); 8) (x-6)(x^2-2x+9);
4) (11-c)(c+8); 9) (5x-y)(2x^2+xy-3y^2 );
5) (d+13)(2d-1); 10) b(6b+7)(3b-4).
*размещая тексты в комментариях ниже, вы автоматически соглашаетесь с пользовательским соглашением