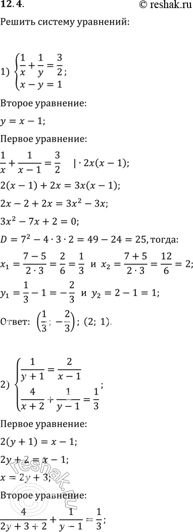
Упр.12.4 ГДЗ Мерзляк Поляков 9 класс (Алгебра)
Решение #1

Рассмотрим вариант решения задания из учебника Мерзляк, Поляков 9 класс, Вентана-Граф:
12.4. Решите систему уравнений:
1) {(1/x+1/y=3/2, x-y=1);
2) {(1/(y+1)=2/(x-1), 4/(x+2)+1/(y-1)=1/3);
3) {(4/(x-1)-5/(y+1)=1, 4/(x+5)=2/y).
*размещая тексты в комментариях ниже, вы автоматически соглашаетесь с пользовательским соглашением