Упр.13.19 ГДЗ Мерзляк Поляков 9 класс (Алгебра)
Решение #1

Рассмотрим вариант решения задания из учебника Мерзляк, Поляков 9 класс, Вентана-Граф:
13.19. Решите систему уравнений:
1) {(x^2 y+y^2 x=20, 1/x+1/y=5/4);
2) {(x^2/y+y^2/x=12, 1/x+1/y=1/3);
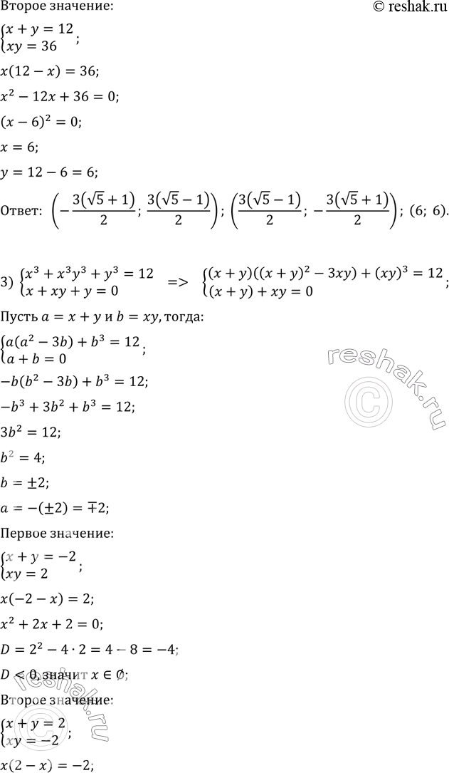
3) {(x^3+x^3 y^3+y^3=12, x+xy+y=0);
4) {(x^3+y^3=19, (xy+8)(x+y)=2).
*размещая тексты в комментариях ниже, вы автоматически соглашаетесь с пользовательским соглашением