Упр.14.1 ГДЗ Мерзляк Поляков 7 класс (Алгебра)
Решение #1

Рассмотрим вариант решения задания из учебника Мерзляк, Поляков 7 класс, Вентана-Граф:
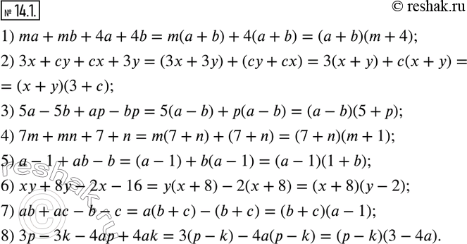
14.1. Разложите на множители многочлен:
1) ma+mb+4a+4b; 2) 3x+cy+cx+3y;
3) 5a-5b+ap-bp; 4) 7m+mn+7+n;
5) a-1+ab-b; 6) xy+8y-2x-16;
7) ab+ac-b-c; 8) 3p-3k-4ap+4ak.
*размещая тексты в комментариях ниже, вы автоматически соглашаетесь с пользовательским соглашением