Упр.165 ГДЗ Дорофеев Суворова 9 класс (Алгебра)
Решение #1

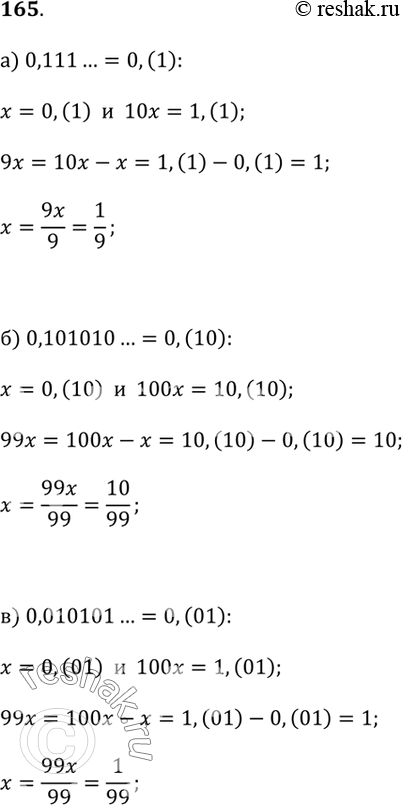
Рассмотрим вариант решения задания из учебника Дорофеев, Суворова, Бунимович 9 класс, Просвещение:
165. Представьте в виде обыкновенной дроби:
а) 0,111...; б) 0,101010...; в) 0,010101... .
*размещая тексты в комментариях ниже, вы автоматически соглашаетесь с пользовательским соглашением