Упр.176 ГДЗ Дорофеев Суворова 8 класс (Алгебра)
Решение #1

Рассмотрим вариант решения задания из учебника Дорофеев, Суворова, Бунимович 8 класс, Просвещение:
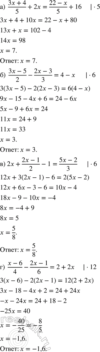
176. Решите уравнение:
а) (3x+4)/5+2x=(22-x)/5+16;
б) (3x-5)/2-(2x-3)/3=4-x;
в) 2x+(2x-1)/2-1=(5x-2)/3;
г) (x-6)/4-(2x-1)/6=2+2x.
*размещая тексты в комментариях ниже, вы автоматически соглашаетесь с пользовательским соглашением