Упр.18.48 ГДЗ Мерзляк Поляков 7 класс (Алгебра)
Решение #1

Рассмотрим вариант решения задания из учебника Мерзляк, Поляков 7 класс, Вентана-Граф:
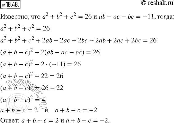
18.48. Известно, что a^2 +b^2 +c^2 =26 и ab-ac-bc=-11. Найдите значение выражения a+b-c.
*размещая тексты в комментариях ниже, вы автоматически соглашаетесь с пользовательским соглашением