Упр.18.6 ГДЗ Мерзляк Поляков 9 класс (Алгебра)
Решение #1

Рассмотрим вариант решения задания из учебника Мерзляк, Поляков 9 класс, Вентана-Граф:
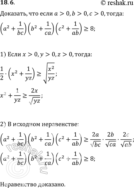
18.6. Докажите, что если a>0, b>0, c>0, то
(a^2+1/(bc))(b^2+1/(ca))(c^2+1/(ab))?8.
*размещая тексты в комментариях ниже, вы автоматически соглашаетесь с пользовательским соглашением