Упр.2.11 ГДЗ Мерзляк Поляков 7 класс (Алгебра)
Решение #1

Рассмотрим вариант решения задания из учебника Мерзляк, Поляков 7 класс, Вентана-Граф:
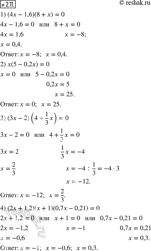
2.11. Решите уравнение:
1) (4x-1,6)(8+x)=0;
2) x(5-0,2x)=0;
3) (3x-2)(4+1/3 x)=0;
4) (2x+1,2)(x+1)(0,7x-0,21)=0.
*размещая тексты в комментариях ниже, вы автоматически соглашаетесь с пользовательским соглашением