Упр.2.14 ГДЗ Мерзляк Поляков 9 класс (Алгебра)

Решение #1

Изображение Упр.2.14 ГДЗ Мерзляк Поляков 9 класс
Загрузка...

Рассмотрим вариант решения задания из учебника Мерзляк, Поляков 9 класс, Вентана-Граф:
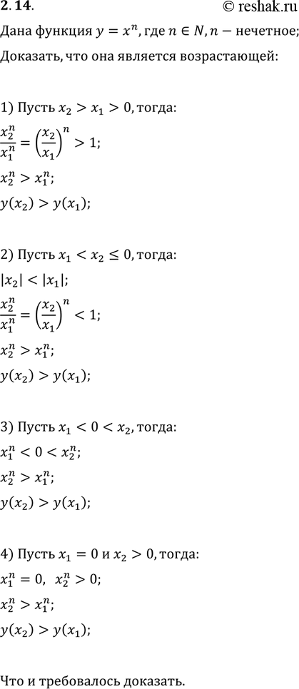
2.14. Докажите, что функция y=x^n, где n?N, n — нечётное, является возрастающей.
*Цитирирование задания со ссылкой на учебник производится исключительно в учебных целях для лучшего понимания разбора решения задания.
*размещая тексты в комментариях ниже, вы автоматически соглашаетесь с пользовательским соглашением