Упр.211 ГДЗ Дорофеев Суворова 8 класс (Алгебра)
Решение #1

Рассмотрим вариант решения задания из учебника Дорофеев, Суворова, Бунимович 8 класс, Просвещение:
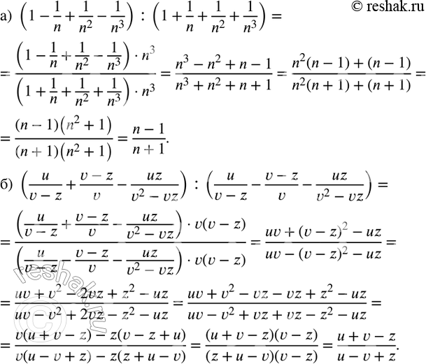
211 .Упростите выражение:
а) (1-1/n+1/n^2 -1/n^3 ) :(1+1/n+1/n^2 +1/n^3 );
б) (u/(v-z)+(v-z)/v-uz/(v^2-vz)) :(u/(v-z)-(v-z)/v-uz/(v^2-vz)).
*размещая тексты в комментариях ниже, вы автоматически соглашаетесь с пользовательским соглашением