Упр.22.16 ГДЗ Мерзляк Поляков 9 класс (Алгебра)
Решение #1

Рассмотрим вариант решения задания из учебника Мерзляк, Поляков 9 класс, Вентана-Граф:
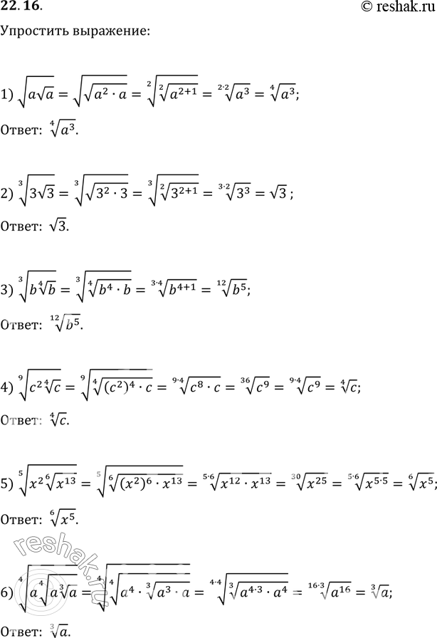
22.16. Упростите выражение:
1) v(ava); 3) (b(b^(1/4))^(1/3); 5) (x^2 (x^13)^(1/6))^(1/5);
2) (3v3)^(1/3); 4) (c^2 c^(1/4))^(1/9); 6) (a(a(a^(1/3)))^(1/4))^(1/4).
*размещая тексты в комментариях ниже, вы автоматически соглашаетесь с пользовательским соглашением