Упр.22.44 ГДЗ Мерзляк Поляков 9 класс (Алгебра)
Решение #1

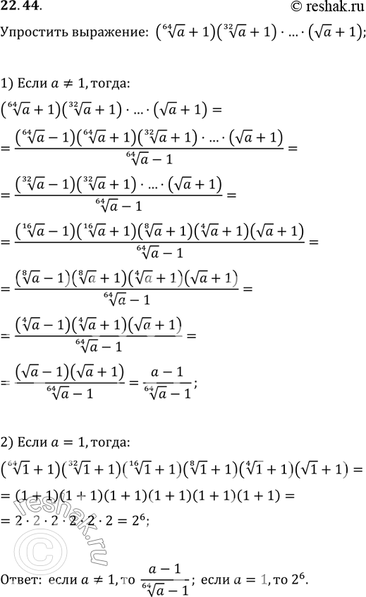
Рассмотрим вариант решения задания из учебника Мерзляк, Поляков 9 класс, Вентана-Граф:
22.44. Упростите выражение (a^(1/64)+1)(a^(1/32)+1)·...·(va+1).
*размещая тексты в комментариях ниже, вы автоматически соглашаетесь с пользовательским соглашением