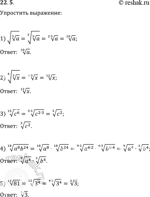
Упр.22.5 ГДЗ Мерзляк Поляков 9 класс (Алгебра)
Решение #1

Рассмотрим вариант решения задания из учебника Мерзляк, Поляков 9 класс, Вентана-Граф:
22.5. Упростите выражение:
1) v(a^(1/5)); 2) (x^(1/3))^(1/4); 3) (c^6)^(1/15);
4) (a^8 b^24)^(1/18); 5) 81^(1/12).
*размещая тексты в комментариях ниже, вы автоматически соглашаетесь с пользовательским соглашением