Упр.250 ГДЗ Муравин 7 класс (Алгебра)
Решение #1

Рассмотрим вариант решения задания из учебника Муравин, Муравина 7 класс, Дрофа:
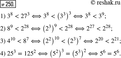
250. Сравните значения выражений:
1) 3^8 и 27^3; 3) 4^10 и 8^7;
2) 8^9 и 2^28; 4) 25^3 и 125^2.
*размещая тексты в комментариях ниже, вы автоматически соглашаетесь с пользовательским соглашением