Упр.288 ГДЗ Муравин 7 класс (Алгебра)
Решение #1

Рассмотрим вариант решения задания из учебника Муравин, Муравина 7 класс, Дрофа:
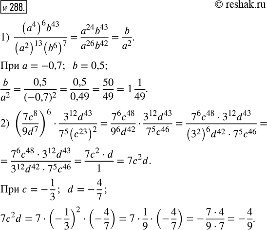
288. Найдите значение выражения:
1) ((a^4)^6 b^43)/((a^2)^13 (b^6)^7) при a = -0,7; b = 0,5;
2) (7c^8/9d^7)^6 · (3^12 d^43)/(7^5 (c^23)^2) при c = -1/3; d = -4/7.
*размещая тексты в комментариях ниже, вы автоматически соглашаетесь с пользовательским соглашением