Упр.303 ГДЗ Дорофеев Суворова 8 класс (Алгебра)
Решение #1

Рассмотрим вариант решения задания из учебника Дорофеев, Суворова, Бунимович 8 класс, Просвещение:
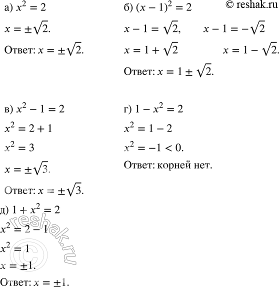
303. Решите уравнение:
а) x^2=2;
б) (x-1)^2=2;
в) x^2-1=2;
г) 1-x^2=2;
д) 1+x^2=2.
*размещая тексты в комментариях ниже, вы автоматически соглашаетесь с пользовательским соглашением