Упр.321 ГДЗ Дорофеев Суворова 8 класс (Алгебра)
Решение #1

Рассмотрим вариант решения задания из учебника Дорофеев, Суворова, Бунимович 8 класс, Просвещение:
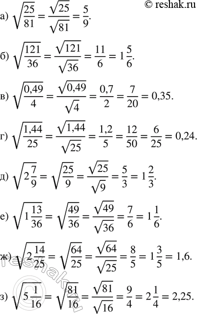
321. Вычислите:
а) v(25/81);
б) v(121/36);
в) v(0,49/4);
г) v(1,44/25);
д) v(2 7/9);
е) v(1 13/36);
ж) v(2 14/25);
з) v(5 1/16).
*размещая тексты в комментариях ниже, вы автоматически соглашаетесь с пользовательским соглашением