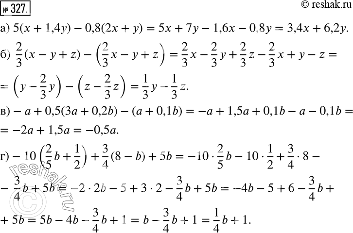
Упр.327 ГДЗ Дорофеев Суворова 7 класс (Алгебра)
Решение #1

Рассмотрим вариант решения задания из учебника Дорофеев, Суворова, Бунимович 10-11 класс, Просвещение:
327 Упростите выражение:
а) 5(х + 1,4y) - 0,8(2x + у);
б) 2/3*(x - у + z) - (2/3*x - у + z);
в) -a + 0,5(3a + 0,2b)-(a + 0,1b);
г) -10(2/5*b + 1/2) + 3/4*(8 - b) + 5b.
*размещая тексты в комментариях ниже, вы автоматически соглашаетесь с пользовательским соглашением