Упр.327 ГДЗ Дорофеев Суворова 8 класс (Алгебра)
Решение #1

Рассмотрим вариант решения задания из учебника Дорофеев, Суворова, Бунимович 8 класс, Просвещение:
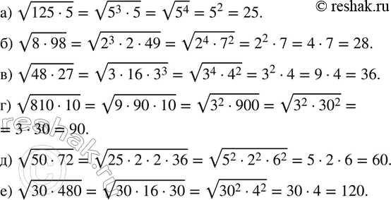
327. Вычислите:
а) v(125•5);
б) v(8•98);
в) v(48•27);
г) v(810•10);
д) v(50•72);
е) v(30•480).
*размещая тексты в комментариях ниже, вы автоматически соглашаетесь с пользовательским соглашением