Упр.36.20 ГДЗ Мерзляк Поляков 7 класс (Алгебра)
Решение #1

Рассмотрим вариант решения задания из учебника Мерзляк, Поляков 7 класс, Вентана-Граф:
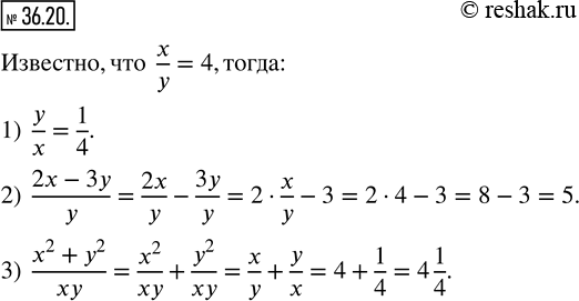
36.20. Известно, что x/y=4. Найдите значение выражения:
1) y/x; 2) (2x-3y)/y; 3) (x^2+y^2)/xy.
*размещая тексты в комментариях ниже, вы автоматически соглашаетесь с пользовательским соглашением