Упр.377 ГДЗ Никольский Потапов 8 класс (Алгебра)
Решение #1

Рассмотрим вариант решения задания из учебника Никольский, Потапов 8 класс, Просвещение:
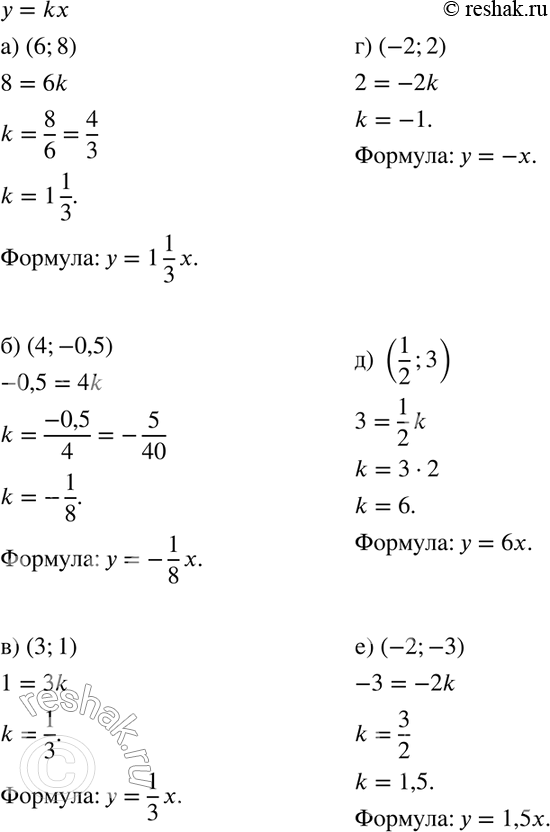
377. Какой формулой задана прямая, проходящая через начало координат и точку:
а) (6; 8);
б) (4; -0,5);
в) (3; 1);
г) (-2;2);
д) (1/2;3);
е) (-2; -3)?
*размещая тексты в комментариях ниже, вы автоматически соглашаетесь с пользовательским соглашением