Упр.38.7 ГДЗ Мерзляк Поляков 7 класс (Алгебра)
Решение #1

Рассмотрим вариант решения задания из учебника Мерзляк, Поляков 7 класс, Вентана-Граф:
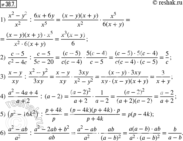
38.7. Упростите выражение:
1) (x^2-y^2)/x^2 : (6x+6y)/x^5 ;
2) (c-5)/(c^2-4c) : (c-5)/(5c-20);
3) (x-y)/xy : (x^2-y^2)/3xy;
4) (a^2-4a+4)/(a+2) : (a-2);
5) (p^2-16k^2 ) : (p+4k)/p;
6) (a^2-ab)/a^2 : (a^2-2ab+b^2)/ab.
*размещая тексты в комментариях ниже, вы автоматически соглашаетесь с пользовательским соглашением