Упр.384 ГДЗ Никольский Потапов 7 класс (Алгебра)
Решение #1

Рассмотрим вариант решения задания из учебника Никольский, Потапов 7 класс, Просвещение:
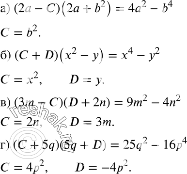
384. Вместо букв С и D подберите одночлены так, чтобы выполнялось равенство:
а) (2а - С) (2а + b2) = 4а2 - b4;
б) (С + D)(x2 - у) = х4 - у2;
в) (Зm - С) (D + 2n) = 9m2 - 4n2;
г) (С + 5q)(5q + D) = 25q2 - 16р4.
*размещая тексты в комментариях ниже, вы автоматически соглашаетесь с пользовательским соглашением