Упр.395 ГДЗ Муравин 7 класс (Алгебра)
Решение #1

Рассмотрим вариант решения задания из учебника Муравин, Муравина 7 класс, Дрофа:
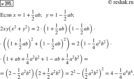
395. Преобразуйте выражение 2ху(х^2 + у^2) в многочлен стандартного вида с переменными а и b, если:
х = 1 + — ab, у = 1 - 1/2 ab.
*размещая тексты в комментариях ниже, вы автоматически соглашаетесь с пользовательским соглашением