Упр.41.4 ГДЗ Мерзляк Поляков 7 класс (Алгебра)
Решение #1

Рассмотрим вариант решения задания из учебника Мерзляк, Поляков 7 класс, Вентана-Граф:
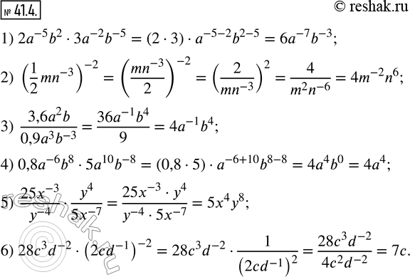
41.4. Упростите выражение:
1) 2a^(-5) b^2·3a^(-2) b^(-5);
2) (1/2 mn^(-3) )^(-2);
3) (3,6a^2 b)/(0,9a^3 b^(-3) );
4) 0,8a^(-6) b^8·5a^10 b^(-8);
5) (25x^(-3))/y^(-4) ·y^4/(5x^(-7) );
6) 28c^3 d^(-2)·(2cd^(-1) )^(-2).
*размещая тексты в комментариях ниже, вы автоматически соглашаетесь с пользовательским соглашением