Упр.415 ГДЗ Дорофеев Суворова 8 класс (Алгебра)
Решение #1

Рассмотрим вариант решения задания из учебника Дорофеев, Суворова, Бунимович 8 класс, Просвещение:
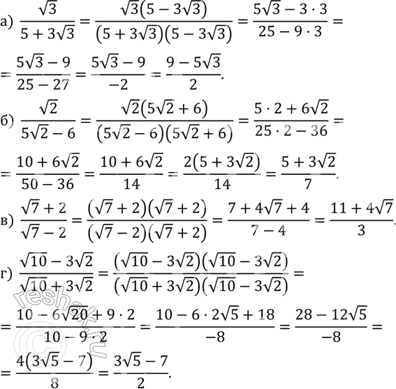
415. Освободитесь от иррациональности в знаменателе:
а) v3/(5+3v3);
б) v2/(5v2-6);
в) (v7+2)/(v7-2);
г) (v10-3v2)/(v10+3v2).
*размещая тексты в комментариях ниже, вы автоматически соглашаетесь с пользовательским соглашением