Упр.433 ГДЗ Дорофеев Суворова 8 класс (Алгебра)
Решение #1

Рассмотрим вариант решения задания из учебника Дорофеев, Суворова, Бунимович 8 класс, Просвещение:
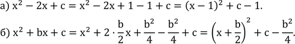
433. Выделите в трехчлене квадрат двучлена:
а) x^2-2x+c;
б) x^2+bx+c.
*размещая тексты в комментариях ниже, вы автоматически соглашаетесь с пользовательским соглашением