Упр.456 ГДЗ Дорофеев Суворова 8 класс (Алгебра)
Решение #1

Рассмотрим вариант решения задания из учебника Дорофеев, Суворова, Бунимович 8 класс, Просвещение:
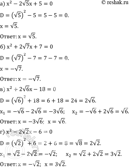
456. Решите уравнение:
а) x^2-2v5 x+5=0;
б) x^2+2v7 x+7=0;
в) x^2+2v6 x-18=0;
г) x^2-2v2 x-6=0.
*размещая тексты в комментариях ниже, вы автоматически соглашаетесь с пользовательским соглашением