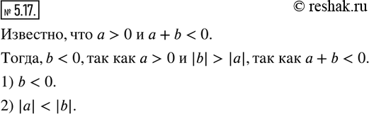
Упр.5.17 ГДЗ Мерзляк Поляков 7 класс (Алгебра)
Решение #1

Рассмотрим вариант решения задания из учебника Мерзляк, Поляков 7 класс, Вентана-Граф:
5.17. Известно, что а > 0, a + b < 0. Сравните:
1) b и 0; 2) |a| и |b|.
*размещая тексты в комментариях ниже, вы автоматически соглашаетесь с пользовательским соглашением