Упр.6.24 ГДЗ Мерзляк Поляков 7 класс (Алгебра)
Решение #1

Рассмотрим вариант решения задания из учебника Мерзляк, Поляков 7 класс, Вентана-Граф:
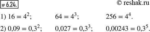
6.24. Запишите:
1) числа 16; 64; 256 в виде степени с основанием 4;
2) числа 0,09; 0,027; 0,00243 в виде степени с основанием 0,3.
*размещая тексты в комментариях ниже, вы автоматически соглашаетесь с пользовательским соглашением