Упр.659 ГДЗ Дорофеев Суворова 7 класс (Алгебра)
Решение #1

Рассмотрим вариант решения задания из учебника Дорофеев, Суворова, Бунимович 10-11 класс, Просвещение:
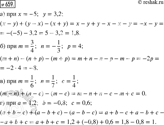
659 Найдите значение выражения при заданных значениях переменных:
а) (х — у) + (у — х) — (х + у); х = -5; у = 3,2;
б) (m + n) - (а + р) - (m + р); m = 3/4; n = - 1/3; p=4.
в) (m - n) + (n - с) - (m - с); m = 1/6; n = 1/7; с = 1/4;
г) (а + b - с) + (а - b + с) - (а - b - с); а = 1,2; b = -0,8; с = 0,6.
*размещая тексты в комментариях ниже, вы автоматически соглашаетесь с пользовательским соглашением