Упр.7.6 ГДЗ Мерзляк Поляков 7 класс (Алгебра)
Решение #1

Рассмотрим вариант решения задания из учебника Мерзляк, Поляков 7 класс, Вентана-Граф:
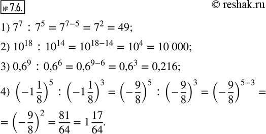
7.6. Найдите значение выражения:
1) 7^7 :7^5; 2) 10^18 :10^14;
3) 0,6^9 :0,6^6; 4) (-1 1/8)^5 :(-1 1/8)^3.
*размещая тексты в комментариях ниже, вы автоматически соглашаетесь с пользовательским соглашением