Упр.702 ГДЗ Никольский Потапов 7 класс (Алгебра)
Решение #1

Рассмотрим вариант решения задания из учебника Никольский, Потапов 7 класс, Просвещение:
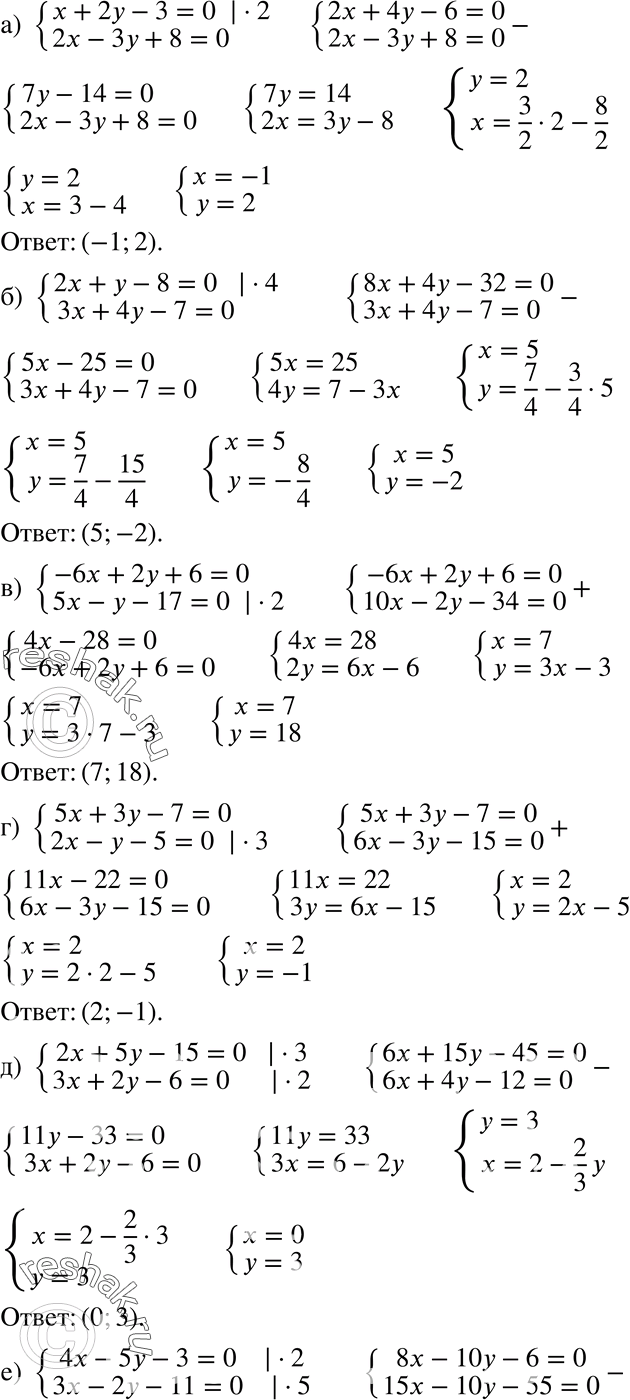
702 а) система
x+2y-3=0,
2x-3y+8=0;
б) система
2x+y-8=0,
3x+4y-7=0;
в) система
-6x+2y+6=0,
5x-y-17=0;
г) система
5x+3y-7=0,
2x-y-5=0;
д) система
2x+5y-15=0,
3x+2y-6=0;
е) система
4x-5y-3=0,
3x-2y-11=0;
ж) система
2x+4y-6=0,
3x-2y-25=0;
з) система
5x+3y-7=0,
3x-5y-45=0.
*размещая тексты в комментариях ниже, вы автоматически соглашаетесь с пользовательским соглашением