Упр.8.17 ГДЗ Мерзляк Поляков 7 класс (Алгебра)
Решение #1

Рассмотрим вариант решения задания из учебника Мерзляк, Поляков 7 класс, Вентана-Граф:
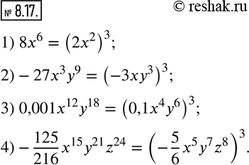
8.17. Представьте в виде куба одночлена стандартного вида выражение:
1) 8x^6;
2)-27x^3 y^9;
3) 0,001x^12 y^18;
4)-125/216 x^15 y^21 z^24.
*размещая тексты в комментариях ниже, вы автоматически соглашаетесь с пользовательским соглашением