Упр.8.23 ГДЗ Мерзляк Поляков 7 класс (Алгебра)
Решение #1

Рассмотрим вариант решения задания из учебника Мерзляк, Поляков 7 класс, Вентана-Граф:
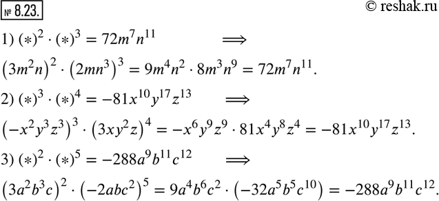
8.23. Замените звездочки такими одночленами, чтобы выполнялось равенство:
1) (*)^2•(*)^3=72m^7 n^11;
2) (*)^3•(*)^4=-81x^10 y^17 z^13;
3) (*)^2•(*)^5=-288a^9 b^11 c^12.
*размещая тексты в комментариях ниже, вы автоматически соглашаетесь с пользовательским соглашением