Упр.8.25 ГДЗ Мерзляк Поляков 7 класс (Алгебра)
Решение #1

Рассмотрим вариант решения задания из учебника Мерзляк, Поляков 7 класс, Вентана-Граф:
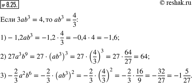
8.25. Значения переменных a и b таковы, что 3ab^3 = 4. Найдите значение выражения:
1)-1,2ab^3; 2) 27a^3 b^9; 3)-2/3 a^2 b^6.
*размещая тексты в комментариях ниже, вы автоматически соглашаетесь с пользовательским соглашением