Упр.8.8 ГДЗ Мерзляк Поляков 9 класс (Алгебра)
Решение #1

Рассмотрим вариант решения задания из учебника Мерзляк, Поляков 9 класс, Вентана-Граф:
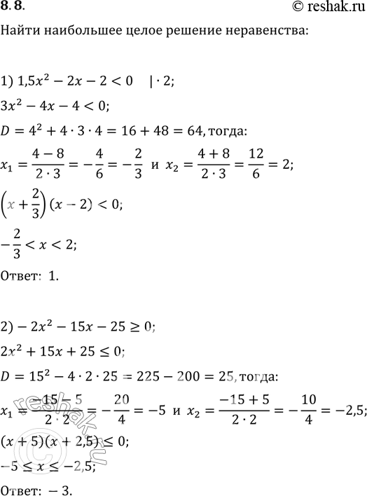
8.8. Найдите наибольшее целое решение неравенства:
1) 1,5x^2-2x-2<0; 2) -2x^2-15x-25?0.
*размещая тексты в комментариях ниже, вы автоматически соглашаетесь с пользовательским соглашением