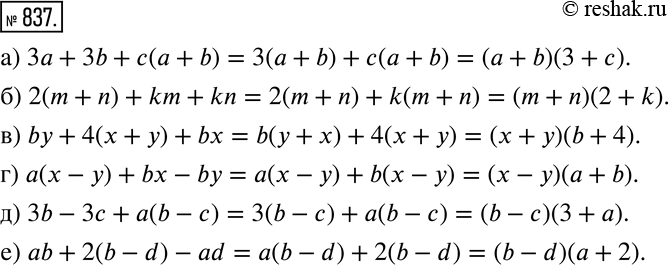
Упр.837 ГДЗ Дорофеев Суворова 7 класс (Алгебра)
Решение #1

Рассмотрим вариант решения задания из учебника Дорофеев, Суворова, Бунимович 10-11 класс, Просвещение:
837 Разложите на множители:
а) 3а + 3b + с(а + b);
б) 2(m + n) + km + km;
в) by + 4(х + у) + bх;
г) а(х - у) + bx - by;
д) 3b - 3с + а(b - с);
е) аb + 2(b - d) - ad.
*размещая тексты в комментариях ниже, вы автоматически соглашаетесь с пользовательским соглашением