Упр.87 ГДЗ Дорофеев Суворова 8 класс (Алгебра)
Решение #1

Рассмотрим вариант решения задания из учебника Дорофеев, Суворова, Бунимович 8 класс, Просвещение:
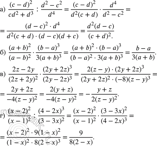
87. Выполните действия:
а) (c-d)^2/(cd^2+d^3 ) :(d^2-c^2)/d^4 ;
б) (a+b)^2/(a-b)^2 •(b-a)^3/(3(a+b)^3 );
в) (2z-2y)/(2z+2y)^2 •(2y+2z)^3/(2y-2z)^3 ;
г) (x-2)^2/(x-1)^2 :(4-2x)^3/(3-3x)^2 .
*размещая тексты в комментариях ниже, вы автоматически соглашаетесь с пользовательским соглашением