Упр.884 ГДЗ Дорофеев Суворова 7 класс (Алгебра)
Решение #1

Рассмотрим вариант решения задания из учебника Дорофеев, Суворова, Бунимович 10-11 класс, Просвещение:
Разложите на множители (884—887).
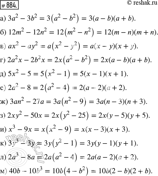
884 а) 3а2 - 3b2;
б) 12m2 - 12n2;
в) ах2 - ау2;
г) 2а2х - 2b2x;
д) 5x2 - 5;
е) 2а2 - 8;
ж) 3an2 - 27а;
з) 2ху2 - 50x;
и) х3 - 9х;
к) 3у3 - 3у;
л) 2а3 - 8а;
м) 40b - 10b3.
*размещая тексты в комментариях ниже, вы автоматически соглашаетесь с пользовательским соглашением