Упр.960 ГДЗ Дорофеев Шарыгин 6 класс (Математика)
Решение #1

Рассмотрим вариант решения задания из учебника Дорофеев, Шарыгин, Суворова 6 класс, Просвещение:
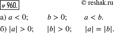
960. На координатной прямой отметили числа 0, a, b (рис. 11.16). Сравните:
а) a и 0; b и 0; a и b;
б) |a| и 0; |b| и 0; |a| и |b|.
*размещая тексты в комментариях ниже, вы автоматически соглашаетесь с пользовательским соглашением