Это надо уметь Глава 8 ГДЗ Дорофеев Суворова 7 класс (Алгебра)
Решение #1

Рассмотрим вариант решения задания из учебника Дорофеев, Суворова, Бунимович 10-11 класс, Просвещение:
Это надо уметь (обязательные результаты обучения)
Вынесите за скобки общий множитель (1-4).
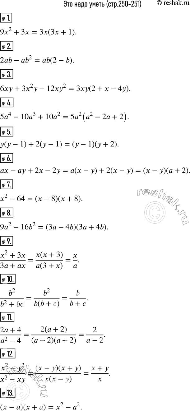
1 9х2 + 3х.
2 2ab - ab2.
3 бху + 3х2у - 12ху2.
4 5а4 - 10а3 + 10а2.
Разложите на множители (5-8).
5 y(y - 1) + 2(у - 1).
6 ах - ау + 2х - 2у.
7 x2 - 64.
8 9а2 - 16b2.
Сократите дробь (9-12).
9 (x2 + 3x)/(3a+ax).
10 b2/(b2+bc).
11 (2a+4)/(a2-4).
12 (x2-y2)/(x2-xy).
Выполните действия (13-16).
13 (х - а)(х + а).
14 (2р- 3n)(2р + 3n).
15 (а + b)2 - (а - b)(а + b).
16 (х - 1)(x + 1) - х(х - 3).
Разложите на множители (17-20).
17 а3 - 4а.
18 ах2 - ау2.
19 3а2 - 6аb + 3b2.
20 ах2 + 2ах + а.
Решите уравнение (21-24).
21 (х - 12)(3х + 9) = 0.
22 (х + 2)2 = 0.
23 х2 + 7х = 0.
24 х2 - 25 = 0.
*размещая тексты в комментариях ниже, вы автоматически соглашаетесь с пользовательским соглашением