Упр.554 ГДЗ Макарычев Миндюк 8 класс (Алгебра)

Решение #1

Изображение 554. (Задача-исследование.) Решите уравнения:а) x2 - 5x + 6 = 0 и 6x2 - 5x + 1 = 0;б) 2x2 - 13x + 6 = 0 и 6x2 - 13x + 2 = 0.1) Пусть одна группа учащихся выполнит...

Решение #2

Изображение 554. (Задача-исследование.) Решите уравнения:а) x2 - 5x + 6 = 0 и 6x2 - 5x + 1 = 0;б) 2x2 - 13x + 6 = 0 и 6x2 - 13x + 2 = 0.1) Пусть одна группа учащихся выполнит...
Загрузка...

Рассмотрим вариант решения задания из учебника Макарычев, Миндюк, Нешков 8 класс, Просвещение:
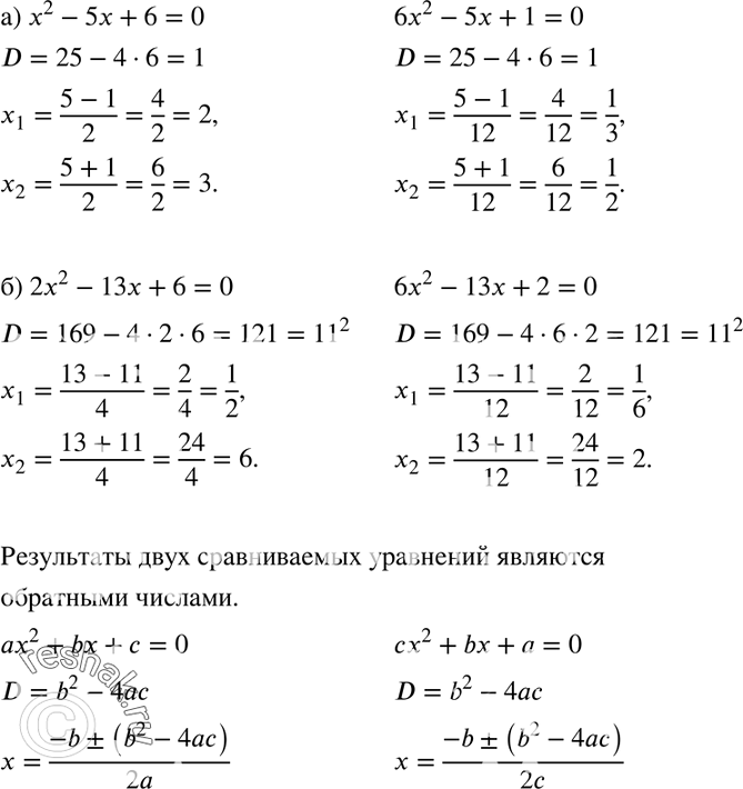
554. (Задача-исследование.) Решите уравнения:
а) x2 - 5x + 6 = 0 и 6x2 - 5x + 1 = 0;
б) 2x2 - 13x + 6 = 0 и 6x2 - 13x + 2 = 0.
1) Пусть одна группа учащихся выполнит задание а), а другая — задание б).
2) Сравните результаты и выскажите предположение о соотношении между корнями уравнений ах2 + bх + с = 0 и сх2 + bх + а = 0.
3) Докажите, что ваше предположение верно.
*Цитирирование задания со ссылкой на учебник производится исключительно в учебных целях для лучшего понимания разбора решения задания.
*размещая тексты в комментариях ниже, вы автоматически соглашаетесь с пользовательским соглашением