Упр.1 ГДЗ Макарычев Миндюк 9 класс (Алгебра)
Решение #1
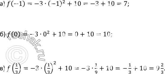
Решение #2

Рассмотрим вариант решения задания из учебника Макарычев, Миндюк, Нешков 9 класс, Просвещение:
1 Функция задана формулой f(x) = -3х2 + 10. Найдите: а) f(-1); б) f(0); в)f(1/3).
*размещая тексты в комментариях ниже, вы автоматически соглашаетесь с пользовательским соглашением