Упр.24 ГДЗ Макарычев Миндюк 9 класс (Алгебра)
Решение #1
Решение #2
Решение #3

Рассмотрим вариант решения задания из учебника Макарычев, Миндюк, Нешков 9 класс, Просвещение:
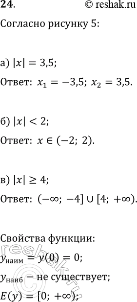
24 По графику функции у = |х| (см. рис. 5) найдите, при каких значениях х:
а) |х| = 3,5; б) |x| < 2; в) |х| >= 4.
Каково наименьшее значение функции? Имеет ли она наибольшее значение? Какова область значений функции?
*размещая тексты в комментариях ниже, вы автоматически соглашаетесь с пользовательским соглашением