Упр.14.19 ГДЗ Мерзляк Поляков 7 класс (Алгебра)
Решение #1

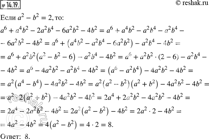
Рассмотрим вариант решения задания из учебника Мерзляк, Поляков 7 класс, Вентана-Граф:
14.19. Известно, что a^2 - b^2 =2. Найдите значение выражения a^6+a^4 b^2-2a^2 b^4-6a^2 b^2-4b^2.
*размещая тексты в комментариях ниже, вы автоматически соглашаетесь с пользовательским соглашением